דרוש מידע חישוב ריבית דריבית

  • הוסף לסימניות
  • #1
נניח שהשקעתי 100 והרווחתי עוד 150 בטווח של 3 שנים איך עושים חישוב כמה הרווחתי לשנה באחוזים כולל ריבית דריבית ?
 
  • הוסף לסימניות
  • #3
אני צריך את הצורת חישוב עצמה או לפחות נוסחת אקסל מישהו יודע?
 
  • הוסף לסימניות
  • #4
ממה שאני יודעת במשך 72 שנים בהנחה שהריוח הוא 1 התוצאה היא 100.
אם הריוח הוא 2 זה יקרה ב36 שנים.
אם הריוח הוא 4 זה יקרה ב18 שנים.
ואם הריוח הוא 8 זה יקרה ב9 שנים.
מקווה שעזרתי.
 
  • הוסף לסימניות
  • #5
ממה שאני יודעת במשך 72 שנים בהנחה שהריוח הוא 1 התוצאה היא 100.
אם הריוח הוא 2 זה יקרה ב36 שנים.
אם הריוח הוא 4 זה יקרה ב18 שנים.
ואם הריוח הוא 8 זה יקרה ב9 שנים.
מקווה שעזרתי.
זה נכון זה נקרא חוק 72 שאומר בעצם תוך כמה זמן אני יכפיל את הכסף כשיש לי את הנתונים - סכום השקעה - ואחוזי תשואה (ואגב זה חשבון בקירוב)
אני רוצה הפוך שיש לי סכום השקעה וסכום סופי כמו הדוגמא שהבאתי למעלה
 
  • הוסף לסימניות
  • #6
 
  • הוסף לסימניות
  • #7
זה נכון זה נקרא חוק 72 שאומר בעצם תוך כמה זמן אני יכפיל את הכסף כשיש לי את הנתונים - סכום השקעה - ואחוזי תשואה (ואגב זה חשבון בקירוב)
אני רוצה הפוך שיש לי סכום השקעה וסכום סופי כמו הדוגמא שהבאתי למעלה
זה עובד לשני הכיוונים.
אפשר לקרוא במאמר שכתבתי בעניין.
 
  • הוסף לסימניות
  • #8
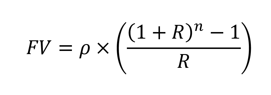
אני צריך את הצורת חישוב עצמה או לפחות נוסחת אקסל מישהו יודע?
תשואות של ריבית דריבית הן בעצם חזקות.
אם הרווחת 20 אחוז לשנה במשך עשר שנים, אז בעצם החישוב הוא 1.2 בחזקת 10 כפול הסכום.
במקרה שלך הסיכום הסופי הוא הכפלה ב2.5 של הסכום הראשוני, ואם אתה מדבר על שלוש תקופות השקעה אתה צריך בעצם להוציא שורש שלישי מ2.5.
בשביל למצוא אותו אתה יכול להשתמש באקסל ולהזין את הנוסחה:
קוד:
=Y^(1/X)
כאשר במקום הנעלם X תזין את מספר תקופות ההשקעה ובמקום הנעלם Y תזין את שיעור ההכפלה של הסכום הסופי מהסכום הראשוני.
 
נערך לאחרונה ב:
  • הוסף לסימניות
  • #10
יש משהו שלא מובן לי
דוג': נניח שאני משקיעה 1000 ש"ח כל חודש ,במשך שנה אחת, במחשבון ריבית דריבית יוצא רווח שנתי של 840 ש"ח, אוקיי?!
יופי, עכשיו נניח והשקעתי את כל הסכום של 12000 ש"ח ביום הראשון של השנה (ולא פרסתי ל12 חודשים) איך יתכן שבמחשבון ריבית דריבית יוצא אותו סכום רווח? לא אמור לצאת יותר (כי יותר כסף הושקע ליותר זמן, לא?!)
מקווה שהצלחתי להסביר את שאלתי...
 
  • הוסף לסימניות
  • #11
יש משהו שלא מובן לי
דוג': נניח שאני משקיעה 1000 ש"ח כל חודש ,במשך שנה אחת, במחשבון ריבית דריבית יוצא רווח שנתי של 840 ש"ח, אוקיי?!
יופי, עכשיו נניח והשקעתי את כל הסכום של 12000 ש"ח ביום הראשון של השנה (ולא פרסתי ל12 חודשים) איך יתכן שבמחשבון ריבית דריבית יוצא אותו סכום רווח? לא אמור לצאת יותר (כי יותר כסף הושקע ליותר זמן, לא?!)
מקווה שהצלחתי להסביר את שאלתי...
השאלה באיזה מחשבון עשית את זה.
יש מחשבונים שמחשבים את הריבית דריבית פעם ביום, ויש מחשבונים שזה פעם בחודש/שנה וכו'.
את בדקת במחשבון שעושה זאת פעם בשנה, ולכן אין שם הבדל בתשואה.
 
  • הוסף לסימניות
  • #12
השאלה באיזה מחשבון עשית את זה.
יש מחשבונים שמחשבים את הריבית דריבית פעם ביום, ויש מחשבונים שזה פעם בחודש/שנה וכו'.
את בדקת במחשבון שעושה זאת פעם בשנה, ולכן אין שם הבדל בתשואה.
איזה מחשבונים מחשבים פעם ביום?
 
  • הוסף לסימניות
  • #14
נדייק השאלה איזה נתונים הכנסת.
כמה תקופות לחישוב הריבית
ואיזה אחוז ריבית הכנסת
אכן עשיתי במחשבון שנתי
1672558420376.png

1672558377822.png
 
  • הוסף לסימניות
  • #15
  • הוסף לסימניות
  • #18
אם אני רוצה לחשב ריבית דריבית עם הפקדות משתנות באמצע (שנה א’ 1000 שנה ד’ 500 וכו’) וכן עם משיכות (בשנה 10 משיכה של 2000) יש דרך לבצע זאת?
 

פרוגבוט

תוכן שיווקי
פרסומת
החלפת המידע בפרום הינה בין משקיעים חובבנים, ואינה מהווה תחליף ליעוץ מקצועי.

אשכולות דומים

אתמול פורסם מיזם "אפריון" של חסידי ויז'ניץ,
המיזם משלב חיסכון בשוק ההון וזכאות להלוואות גמ"ח לנישואי הילדים.
לאחר עיון בחוברת ובניית תחשיב,
רציתי להציף כאן כמה נקודות לדיון כלכלי ענייני.

מהן המעלות בתוכנית?
  1. הנגשה והשקעה לטווח ארוך – על פי התוכנית
    רוב הכספים יופנו להשקעה בשוק ההון,
    מה שמאפשר למשפחות צעירות ליהנות מאפקט הריבית דריבית
    לאורך עשרות שנים.
    מדובר בשינוי תודעתי משמעותי עבור רבים
    שלא נחשפו עד עכשיו לאפשרויות השקעה,
    או שהיו זקוקים להנגשה כדי להתחיל.
  2. מנגנון הלוואות נוח.
    המצטרפים זכאים להלוואה משמעותית בעת נישואי הילדים
    (150,000 ש"ח לבת ו-130,000 ש"ח לבן).
    התנאים כוללים פריסה ארוכה ל-100 תשלומים,
    עם פירעון של עד שלוש הלוואות במקביל,
    בלי ריבית ובלי ערבים.
  3. הבנה כלכלית של ערך המטבע.
    לראשונה במיזמים מסוג זה,
    רואים התייחסות ריאלית לאינפלציה.
    סכומי ההלוואה וההפקדות כמו צמודים למדד המחירים לצרכן
    בשיעור קבוע של 1.5%.
    חדירת ההבנה הזו לשיח הציבורי היא צעד חשוב,
    אפשר לקוות שזאת סנונית
    ובעתיד זה יאומץ גם ע"י ארגונים אחרים (כדוגמת 'ערבים' או 'למחייתם').
  4. מודל משיכה מבוסס כלל 300.
    מודל החזר ההלוואה
    מתכתב עם עקרונות "מחקר טריניטי".
    אם נשאר בתחשיב של 10% תשואה,
    פירעון הלוואה אחת מהווה משיכה של כ-2.3% מהקרן.
    עם זאת, יש לשים לב, שכשמגיעים לפירעון של 3 הלוואות במקביל,
    שיעור המשיכה עולה ל-7.2%,
    נתון שעלול לאתגר את יציבות הקרן.

איפה היזמים טוענים שהמודל "מנצח"?

היתרון המרכזי שמוצג בתוכנית מבוסס על מניעת פגיעה ב"ריבית דריבית" של הקרן. בחיסכון רגיל, כשמגיע מועד החתונה,
ההורה נאלץ למשוך סכום משמעותי (למשל 150,000 ש"ח) בבת אחת.
משיכה כזאת מקטינה באופן דרמטי את הקרן
וקוטעת את פוטנציאל התשואה
שהסכום הזה היה יכול להניב בעשרות השנים הבאות.

במודל הם מאפשרים שהחוסך לא ימשוך כספים מהחיסכון המושקע בשוק ההון.
במקום זאת, הוא מקבל הלוואה מהגמ"ח.
הקרן בשוק ההון נשארת שלמה וממשיכה לצבור תשואה על מלוא הסכום,
בעוד הפירעון מתבצע בתשלומים קטנים ופריסה ארוכה.
כשהם מעריכים את ההטבה ב200,000 ₪.

מה הם שכחו?

המושג של השארת קרן מושקעת ולקיחת הלוואה כנגדה
היא לא המצאה של המיזם.
כל משקיע בשוק ההון יכול לקחת הלוואה
(מהבנק או מבית ההשקעות כנגד הצבירה)
כדי להימנע ממשיכת הקרן.

ההטבה היחידה אם כן היא
במתן ההלוואה "ללא ריבית",

מה פחות טוב בתוכנית?

1. התוכנית מניחה כנקודת מוצא
ש"אין אפשרות לחתן ילדים ללא הלוואות".
במקום לעודד חיסכון אגרסיבי יותר או מינוף מבוקר בגיל צעיר
שיכול להניב תשואה גבוהה ולייתר את הצורך בחובות גדולים בעתיד,
המודל אומר: אי אפשר בלי הלוואות.
2. בגמל להשקעה משלמים מס רווח הון.
היזמים לא מציגים את הטבת קרנות ההשתלמות (למי שזכאי לכך),
מה שיכול להשפיע משמעותית על הסכום הסופי שיישאר בידי ההורים.
(אחד המארגנים טען בפורום
שחלילה אסור לגלות להורים על ההטבה
כי הם עלולים למשוך בהפסד)
3. אובדן תשואה אלטרנטיבית.
מכיוון שחלק משמעותי מההפקדה החודשית
עובר לקופת הגמ"ח ולא לשוק ההון,
חלק מהכסף "קפוא" ולא צובר תשואה.
המשמעות במספרים,
תחת הנחה של תשואה שנתית של 10% בשוק ההון,
המצטרפים מוותרים על תשואה אלטרנטיבית של כ-167,751 ש"ח
(מרגע הלידה ועד גיל 18 של הבן הבכור).
וההפסד הולך ומתעצם, כי כספי הפיקדון ששוכבים בגמ"ח (108,792 ש"ח) ממשיכים "לשכב" בגמ"ח בלי תשואה עד לנישואי הילד האחרון.
[התחשיב לפי אפריון מוגבר>]

החיסרון המשמעותי ביותר בעיניי הוא בגישה הניהולית,
שמעוררת תחושת פטרונות ומעלה סימני שאלה בנוגע לשקיפות.

שימו לב לציטוט הבא מתוך החוברת:
"בתום המסע הארוך הזה, אנשים אלו ניצבים ומצהירים בקול חד וברור: זוהי התוכנית הכי טובה עבור ציבור אנ"ש מכל בחינה אפשרית. קשה להניח שאנשים רבים כל כך ונטולי כל כוונת רווח, יטעו. אדרבה, סביר כי מאחורי כל הצעה אחרת שאינה מגיעה ממקור של עסקנות טהורה, מתחבאת יוזמה כלכלית, שלא תראה דופי בהסתרת פרטים או נתונים מסויימים שעשויים לגרום ללקוח לחשוב פעמיים..."

ובהמשך נכתב:
"לתשומת לב: חברי הנהלת 'אפריון' נמצאים כאן בדיוק כדי לענות על שאלות מסוג זה, וממש מצפים שיאתגרו אותם..."

עם כל הכבוד להשקעה של העסקנים,
האם באמת מצפים שיאתגרו אותם?

נכון לעכשיו, המידע הקריטי ביותר נותר חסוי.
מסתירים את גובה דמי הניהול.
(ייתכן כדי לא לעורר שאלות על רווחיות הגוף המנהל,
אם כי מוזכר פעם אחת בחוברת: 'הדרך הזולה ביותר'),
ולא מפרטים את מסלול ההשקעה.

הגישה המורגשת היא: "סמכו על הפטרונים",
עם ציפייה שתתקדם לחתימה ותעביר את הכספים.

כשמצהירים בביטחון: "על רווח נוסף של 200,000 שקל!"
זה מרגיש כמו עושים לך טובה ענקית
ולא מבקשים חלק ברווחים,
מי שלא מבין מקבל הרגשה מוטעית
שזה מוצר שחייבים לחטוף לפני שיגמר.

עריכה:
תוספת חשובה לאזרחי ארה"ב

הצטרפות לניוזלטר

איזה כיף שהצטרפתם לניוזלטר שלנו!

מעכשיו, תהיו הראשונים לקבל את כל העדכונים, החדשות, ההפתעות בלעדיות, והתכנים הכי חמים שלנו בפרוג!

לוח מודעות

הפרק היומי

הפרק היומי! כל ערב פרק תהילים חדש. הצטרפו אלינו לקריאת תהילים משותפת!


תהילים פרק כה

אלְדָוִד אֵלֶיךָ יי נַפְשִׁי אֶשָּׂא:באֱלֹהַי בְּךָ בָטַחְתִּי אַל אֵבוֹשָׁה אַל יַעַלְצוּ אֹיְבַי לִי:גגַּם כָּל קוֶֹיךָ לֹא יֵבֹשׁוּ יֵבֹשׁוּ הַבּוֹגְדִים רֵיקָם:דדְּרָכֶיךָ יי הוֹדִיעֵנִי אֹרְחוֹתֶיךָ לַמְּדֵנִי:ההַדְרִיכֵנִי בַאֲמִתֶּךָ וְלַמְּדֵנִי כִּי אַתָּה אֱלֹהֵי יִשְׁעִי אוֹתְךָ קִוִּיתִי כָּל הַיּוֹם:וזְכֹר רַחֲמֶיךָ יי וַחֲסָדֶיךָ כִּי מֵעוֹלָם הֵמָּה:זחַטֹּאות נְעוּרַי וּפְשָׁעַי אַל תִּזְכֹּר כְּחַסְדְּךָ זְכָר לִי אַתָּה לְמַעַן טוּבְךָ יי:חטוֹב וְיָשָׁר יי עַל כֵּן יוֹרֶה חַטָּאִים בַּדָּרֶךְ:טיַדְרֵךְ עֲנָוִים בַּמִּשְׁפָּט וִילַמֵּד עֲנָוִים דַּרְכּוֹ:יכָּל אָרְחוֹת יי חֶסֶד וֶאֱמֶת לְנֹצְרֵי בְרִיתוֹ וְעֵדֹתָיו:יאלְמַעַן שִׁמְךָ יי וְסָלַחְתָּ לַעֲוֹנִי כִּי רַב הוּא:יבמִי זֶה הָאִישׁ יְרֵא יי יוֹרֶנּוּ בְּדֶרֶךְ יִבְחָר:יגנַפְשׁוֹ בְּטוֹב תָּלִין וְזַרְעוֹ יִירַשׁ אָרֶץ:ידסוֹד יי לִירֵאָיו וּבְרִיתוֹ לְהוֹדִיעָם:טועֵינַי תָּמִיד אֶל יי כִּי הוּא יוֹצִיא מֵרֶשֶׁת רַגְלָי:טזפְּנֵה אֵלַי וְחָנֵּנִי כִּי יָחִיד וְעָנִי אָנִי:יזצָרוֹת לְבָבִי הִרְחִיבוּ מִמְּצוּקוֹתַי הוֹצִיאֵנִי:יחרְאֵה עָנְיִי וַעֲמָלִי וְשָׂא לְכָל חַטֹּאותָי:יטרְאֵה אוֹיְבַי כִּי רָבּוּ וְשִׂנְאַת חָמָס שְׂנֵאוּנִי:כשָׁמְרָה נַפְשִׁי וְהַצִּילֵנִי אַל אֵבוֹשׁ כִּי חָסִיתִי בָךְ:כאתֹּם וָיֹשֶׁר יִצְּרוּנִי כִּי קִוִּיתִיךָ:כבפְּדֵה אֱלֹהִים אֶת יִשְׂרָאֵל מִכֹּל צָרוֹתָיו:
נקרא  2  פעמים
למעלה